Norma ČSN EN ISO 6508 specifikuje metodu běžných a povrchových zkoušek tvrdosti podle Rockwella u kovových materiálů.
Měření tvrdosti podle Rockwella patří mezi statické zkoušky měření tvrdosti materiálu, tzn. vnikací těleso se do zkušebního tělesa vtlačuje klidovou silou ve směru kolmém k povrchu vzorku.
Tvrdoměry pro měření dle metody Rockwell najdete v nabídce našeho partnera, společnosti Innovatest.
Co je Rockwellova stupnice tvrdosti?
Zkouška tvrdosti podle Rockwella se určuje z hloubky vtisku vytvořeného indentorem, kdy se měří zbytková hloubka vtisku. Další varianta měření tvrdosti se používá v optických metodách zkoušení podle Brinella, Vickerse a Knoopa kde se měří velikost vtisku.
Čím hlouběji do zkušebního vzorku vnikne zkušební tělísko, tím měkčí je zkoušený materiál. Tvrdost podle Rockwella (HR) se pak určuje ze zbytkové hloubky.
U zkoušky tvrdosti podle Rockwella se hlavní zkušební zatížení aplikuje ve dvou krocích. Prvním před-zatížením se omezuje vliv drsnosti povrchu vzorku na výsledky (způsobené např. rýhami po obrábění či hrubém broušení) a také chyba měření způsobená vůlemi při měření hloubky vtisku. Druhým zkušebním zatížení již probíhá hlavní část zkoušky.
Pro měření tvrdosti se používá Rockwellova stupnice tvrdosti kde nejznámější a nejpoužívanější je metoda HRC následovaná metodou HRA a HRB.
Princip měření metodou Rockwell
Vnikací těleso specifikovaného rozměru, tvaru a materiálu se zatlačuje do povrchu vzorku normou stanoveným cyklem (Obrázek vpravo):
1. Aplikace předběžné zatěžující síly a následné měření počáteční hloubky vtisku
- u automatických tvrdoměru – se měření hloubky provede automaticky bez zásahu operátora
2. Aplikace hlavního zatížení stanovenou rychlostí 1–8 sekund po dobu 2–6 sekund
- hodnota hlavního zatížení se liší podle měřené metody
3. Odtížení hlavního zatížení na zatížení předběžné, které se udržuje po dobu 1–5 sekund kdy se automaticky odečítá trvalá hloubka vtisku h
- výjimku tvoří materiály s vtiskovým tečením (nadměrný plastický tok), kdy se výsledek odečítá hned po odtížení hlavního zatížení, protože vnikací těleso pokračuje v průniku po dobu odčítání
Jak měřit tvrdost HRC se dovíte také ve videu níže.
Využití způsobů měření podle Rockwella
| Metoda | Použití |
|---|---|
| HRA | Slinuté karbidy, tenké oceli a případně kalené oceli. |
| HRB | Slitiny mědi, měkké oceli, slitiny hliníku a tvárné litiny. |
| HRC | Oceli, tvrdé litiny, případně tvrzené oceli a jiné kovy tvrdší než 100 HRB. |
| HDR | Ocelové plechy a případně středně tvrzené oceli a perlitické temperované litiny. |
| HRE | Slitiny hliníku a hořčíku s dalšími kovy. |
| HRF | Žíhané měkké slitiny, tenké měkké plechy. |
| HRG | Fosfátové bronzy, slitiny mědi s berylliem, temperované litiny. |
| HRH | Velmi měkké kovy, plasty a jiné měkké materiály. |
Typy vnikajících těles k měření tvrdosti metodou Rockwell
Metoda Rockwell využívá k měření tvrdosti podle normy ČSN EN ISO 6508 dva typy vnikacích těles (viz obrázek vlevo):
1. Kuželový diamantový hrot s kulovým zakončením – vnitřní úhel 120° a poloměr křivosti hrotu 0,2 mm.
2. Vyleštěná kulička z tvrdokovu (slinutý karbid wolframu, označení W) s průměrem D = 1,5875 mm nebo D = 3,175 mm.
Zkušební zatížení a stupnice tvrdosti
Norma ČSN EN ISO 6508-1 specifikuje dvě stupnice zkušebního zatížení (viz obrázek vpravo):
1. Stupnice běžné tvrdosti podle Rockwella
Předzatížení: 98,07 N (10 kgf)
Hlavní zatížení:
588,4 N (60 kgf)
980,7 N (100 kgf)
1,471 kN (150 kgf)
2. Stupnice povrchové tvrdosti podle Rockwella (Super Rockwell)
Předzatížení: 29,42 N (3 kgf)
Hlavní zatížení:
147,1 N (15 kgf)
294,2 N (30 kgf)
441,3 N (45 kgf)
Pro pokrytí všech aplikací se používají různé kombinace vtlačovacích těles a zatížení. Každá kombinace je označena vlastní stupnicí tvrdosti podle Rockwella, jak je uvedeno v tabulce vlevo.
Minimální tloušťka vzorku/vrstvy

Minimální tloušťku vzorku/vrstvy specifikuje norma ISO 6508-1 v příloze B:
1. Minimálně 10 násobek trvalé hloubky vtisku u vnikacích těles s diamantovým kuželem
2. Minimálně 15 násobek trvalé hloubky vtisku u vnikacích těles s kuličkou
Na zadní straně vzorku nesmí být po provedení zkoušky viditelná žádná deformace.
h – trvalá hloubka vtisku
t – tloušťka vzorku
Minimální vzdálenost mezi sousedními vtisky a mezi vtiskem a okrajem vzorku
Minimální vzdálenost mezi sousedními vtisky a mezi vtiskem a okrajem vzorku je u metody Rockwell pro všechny zkoušené materiály stejná. Normou stanovené hodnoty jsou uvedené na obrázku vpravo. Pokud se dva vtisky odlišují velikostí, musí jejich minimální rozmístění vycházet z uhlopříčky většího vtisku.
d – průměr vtisku
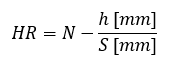
Hodnota výsledné tvrdosti
Výsledná tvrdost se vypočítá ze vztahu:
HR – hodnota tvrdosti podle Rockwella
h – trvalá hloubka vtisku při předběžném zatížení po odlehčení přídavného zatížení
S – konstanta stupnice charakterizující stupnici v mm
N – konstanta celkového rozsahu charakterizující stupnici
Hodnoty konstant charakterizujících stupnici a celkový rozsah stupnice jsou uvedené v tabulce vlevo.
Příklad:
Hloubka vtisku: h = 0,14 mm
Tvrdost = 100 – 0,14/0,002 = 100 – 70 = 30 HRC
Při měření tvrdosti na válcových nebo kulových plochách je potřebné provést korekci pro toto zakřivení. Korekce hodnoty tvrdosti stanovuje norma ČSN EN ISO 6508–1 v příloze C. Hodnoty korekcí se musí uvést ve zkušebním protokolu.
Označení tvrdosti podle Rockwella HR
Formát zápisu výsledku měření: 70 HR 30T W / 10
- 70 – hodnota tvrdosti podle Rockwella
- HR – značka tvrdosti podle Rockwella
- 30T – značka stupnice podle Rockwella
- W – označení typu použité kuličky, W = slinutý karbid wolframu (tvrdokov)
- 10 – čas aplikace hlavního zatížení, je-li delší jako normou stanovený 2 – 6 sekund
Čím měřit tvrdost podle Rockwella?
Pro měření tvrdosti dle metody Rockwell je na trhu celá řada různých tvrdoměrů. Metoda Rockwell je oblíbená hlavně kvůli své jednoduchosti a rychlosti. Není zde kladen tak vysoký nárok na přípravu povrchu jako u metod Vickers a Brinell a rychlost samotného testu je v rámci jednotek vteřin. Tvrdoměrů Rockwell je mnoho druhů a typů. Od jednoduchých analogových až po plně automatické tvrdoměry Rockwell v přesnosti pro akreditované kalibrace tvrdoměrných destiček či pro jiné laboratorní podmínky. Tvrdoměry Rockwell jsou z výše zmiňovaných metod i cenově nejpřijatelnější.
Jaké jsou další metody měření tvrdosti?
Pro měření tvrdosti kovových a tvrdých materiálů jsou kromě metody Rockwell dále nejčastěji používané metody:
Pro měkké materiály (jako jsou plasty a pryže) jsou nejčastěji používané metody:
- Zkouška tvrdosti podle IRHD
- Zkouška tvrdosti podle Shore
- Zkouška tvrdosti pro malé a tenké vzorky Micro Shore
Zdroj informací: ČSN EN ISO 6508






